兽医职称
新闻动态
执业兽医 兽药动态 学历提升 兽医职称
兽医课程
兽医全科 水生动物 兽医学历
宠物课程
线下面授班 软组织外科 犬猫骨外科
宠物麻醉 实验室检验 犬猫皮肤病
小动物肿瘤 兔子疾病诊断 乌龟疾病诊断
鹦鹉疾病诊断 实战猫病学 宠物急诊
人才招聘
宠物招聘 畜牧招聘 水产招聘
 兽易通 > 兽医职称 > 农业技术职称 > 正文
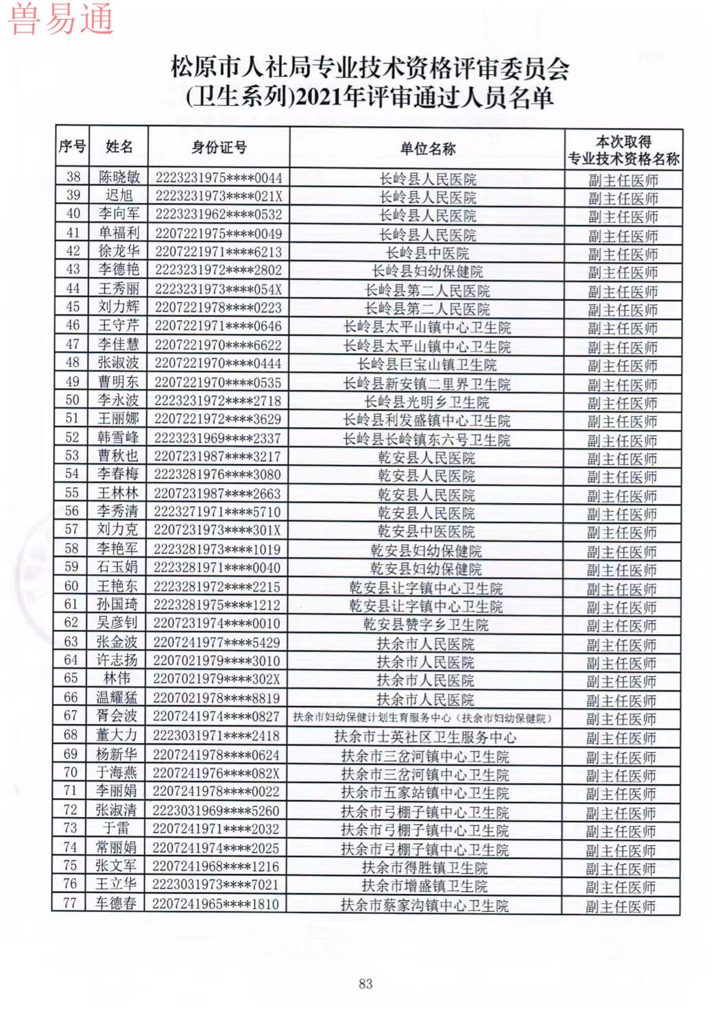
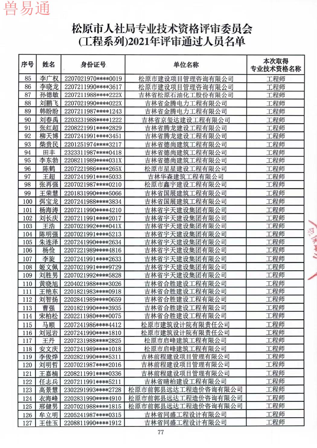
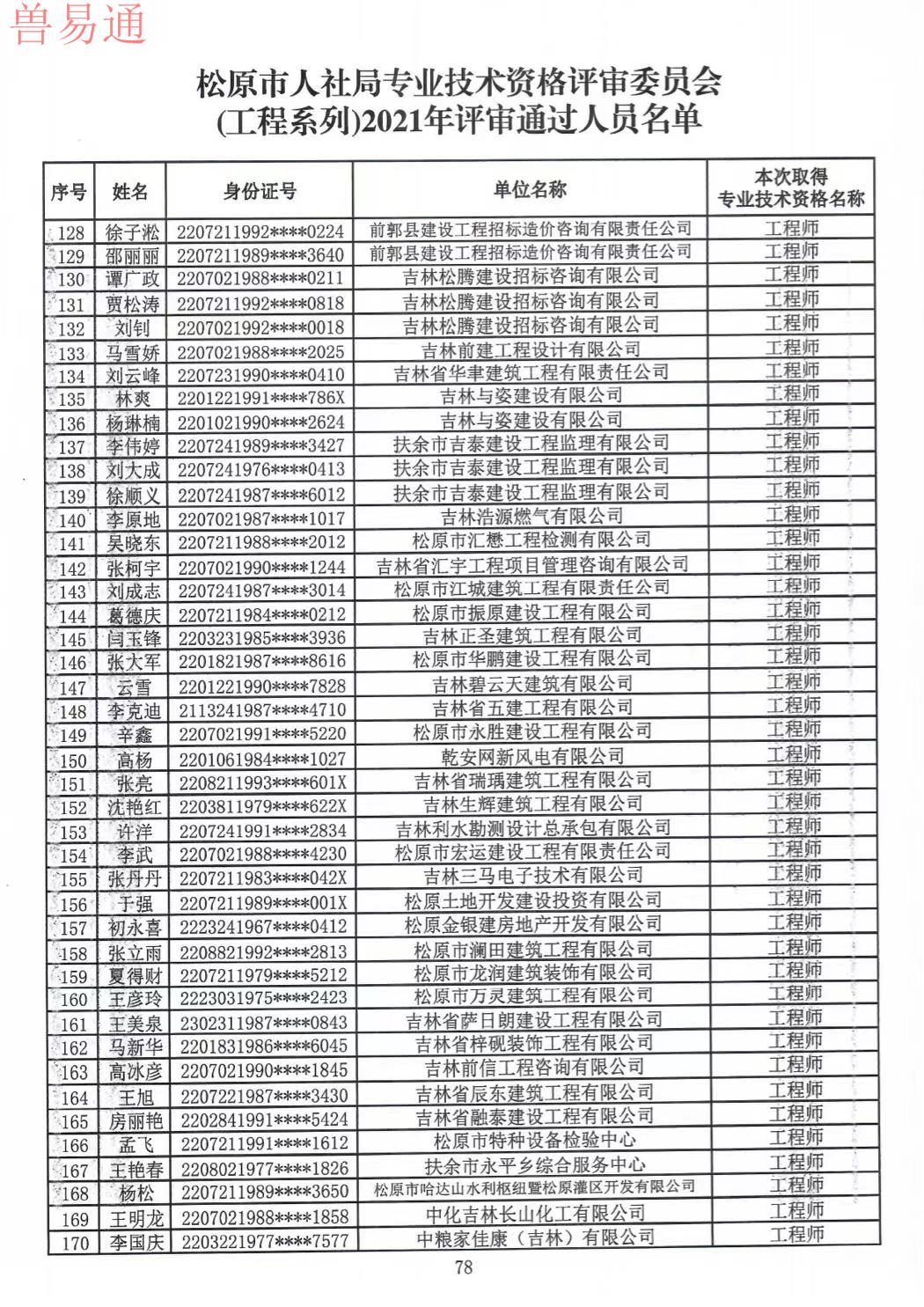
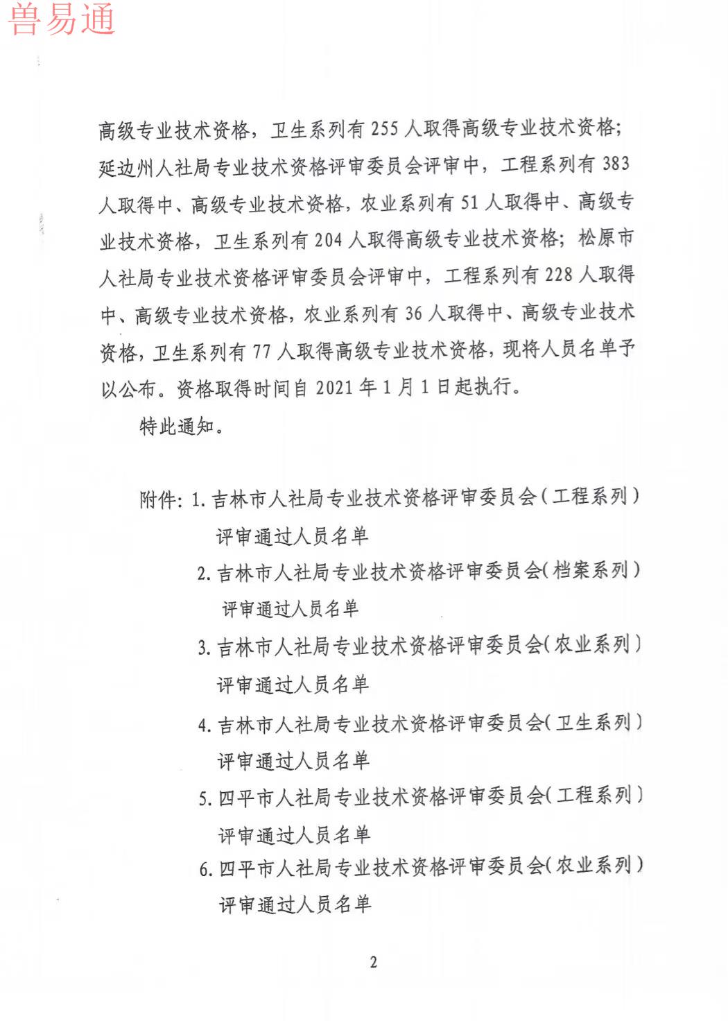
关于公布吉林市人社局专业技术资格评审委员会等4个专业技术资格评审委员会2021年专业技术人员资格评审通过人员名单的通知
兽医职称 更新时间:2026/2/19
依据《吉林省民办学校管理办法(试行)》(吉人社办字[2011]83号)第四十二条,《吉林省民办职业培训学校年度检查和年度报告办法(试行)》(吉人社规[2023]4号)有关规定,对市本级审批的民办职业培训学校2023年度年检整改,逾期未按时报告整改情况,按规定视为年检不合格。现对松原市家兴职业培训学校有限公司予以取消其办学资质。 该民办学校不再具备办学资格,需自行摘除牌匾,培训资料留存备查,所持办学

2024年11月14日,松原市农广校高素质农民培育粮油保供(无人机飞防手)培训班组织学员前往宁江区杨家村进行参观考察学习。在参观过程中,杨家村的水肥一体化建设给学员们留下了深刻的印象。其建设成果非常出色,展示出了先进的农业技术与高效的管理模式。这种一体化建设为农业生产带来了诸多优势,如提高水资源利用效率、精准施肥等,极大地提升了农作物的产量和质量,为粮油保供等农业目标提供了有力的支持。同时,学员们
相关文章
 广东省农业技术人才职称评价标准条件
 桂林市临桂区职称改革工作领导小组办公室转
 2026年重庆农技人员(种植)职称考试大纲
 2024年全国执业兽医资格考试广西考区公告
 关于2020年度北京市农业技术系列工程技术农
 门头沟区2022年上半年事业单位公开招聘工作
 北京市房山区卫生健康委员会所属事业单位公
 新余市生态环境局公开招聘事业单位工作人员

全国畜牧兽医职称信息
广东 浙江 河南 河北 北京 重庆
湖北 山东 湖南 江西 上海 福建
天津 安徽 云南 四川 广西 贵州
辽宁 山西 陕西 宁夏 新疆 西藏
吉林 甘肃 黑龙江 海南 江苏 内蒙古
论文专利
 畜牧兽医论文征稿
 论文指导、职称评审
查看详情
农业畜牧兽医专利申请
   实用新型专利
查看详情
著作出版和软著申请
   软件著作权
查看详情
常用工具
我要招聘
我要找工作
兽药查询
宠物用药
学历提升
宠物人才网
执业兽医师报考(免费试听)
兽易通APP客户端>>
考试介绍
一站式指导
报名时间
报名提醒
准考证
打印时间
成绩查询
证书领取
一键安装做题  累计下载用户:10万+
   抖音号       快手号       视频号       网站导航   
版权所有:兽易通(全国执业兽医考试网)
论文发表
评审入口
在线客服
评审政策